KVR 04020EC-32
Kód: 158350Montážní tým zajistíme instalaci
2 prodejny v Praze Praha 3 / Praha 8
Ověřený obchod hodnocení 90%
Český výrobce vlastní produkty
Prodej na splátky
Detailní popis produktu
KVR 04020EC-32

KVR 04020EC-32

Jak vybrat kanálový ventilátor Ruck KVR
Kanálové ventilátory Ruck KVR jsou spolehlivé radiální kanálové ventilátory pro čtyřhranné potrubí, určené pro efektivní větrání komerčních i technických prostor. Jsou navrženy pro aplikace, kde je požadován stabilní průtok vzduchu, dobrý tlakový výkon a dlouhodobě bezproblémový provoz. Díky robustní konstrukci a účinnému oběžnému kolu představuje řada KVR univerzální řešení pro běžné i náročnější vzduchotechnické instalace.
Pokud hledáte výkonný ventilátor do hranatého potrubí, který zvládne spolehlivě pracovat i při vyšších tlakových ztrátách, Ruck KVR je osvědčená volba pro profesionální použití.
Radiální konstrukce pro stabilní výkon
Ventilátory KVR využívají radiální oběžné kolo, které dokáže vytvářet vyšší tlak než běžné axiální ventilátory. Díky tomu si zachovávají stabilní průtok vzduchu i v systémech s vyšším odporem.
To je výhodné zejména u instalací, kde se v potrubí nachází:
- více tvarovek a kolen
- delší potrubní trasy
- filtry nebo regulační prvky
Řada KVR je tak vhodná pro kanceláře, provozovny, technické místnosti i menší komerční objekty, kde je potřeba spolehlivý výkon bez zbytečné složitosti.
Kompaktní řešení pro čtyřhranné potrubí
Ventilátory Ruck KVR jsou určeny pro montáž do čtyřhranného vzduchotechnického potrubí, což usnadňuje jejich integraci do standardních ventilačních systémů. Kompaktní rozměry umožňují instalaci i v omezených prostorech, například v podhledech, šachtách nebo technických místnostech.
Pevný pozinkovaný ocelový plášť chrání vnitřní části ventilátoru a zajišťuje dlouhou životnost i při nepřetržitém provozu.
AC i EC varianty podle potřeb projektu
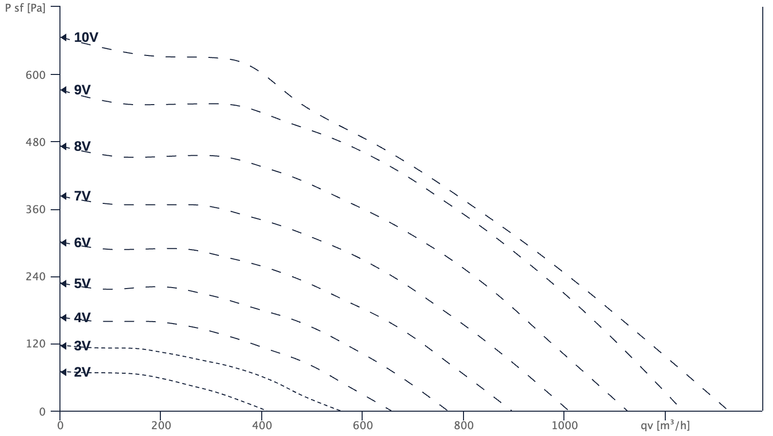
Řada KVR je dostupná s klasickými AC motory i moderními EC motory, což umožňuje přizpůsobit ventilátor konkrétním požadavkům instalace.
AC motor
- spolehlivé a cenově dostupné řešení
- vhodné pro běžné komerční aplikace
- možnost regulace otáček pomocí transformátoru
EC motor
- vyšší energetická účinnost
- nižší spotřeba elektrické energie
- tichý chod a delší životnost
- možnost plynulé regulace výkonu (např. 0–10 V)
Díky této variabilitě je ventilátor KVR vhodný jak pro jednodušší systémy, tak pro moderní instalace s řízenou regulací větrání.
Spolehlivý provoz a dlouhá životnost
Konstrukce ventilátorů Ruck KVR je navržena s důrazem na stabilní chod a odolnost. Precizně vyvážené oběžné kolo snižuje vibrace a mechanické namáhání, což přispívá k delší životnosti zařízení. Ventilátory jsou určeny pro dlouhodobý provoz v komerčních i technických objektech.
Typické použití ventilátorů Ruck KVR
Ventilátory KVR se uplatní zejména tam, kde je potřeba spolehlivé větrání čtyřhranným potrubím:
- kancelářské budovy a administrativní prostory
- obchodní jednotky a provozovny
- technické místnosti
- restaurace a zázemí provozů
- menší průmyslové aplikace
Hlavní výhody ventilátorů Ruck KVR
✔ radiální kanálový ventilátor pro čtyřhranné potrubí
✔ stabilní výkon i při vyšších tlakovými ztrátách
✔ kompaktní rozměry pro snadnou instalaci
✔ robustní pozinkovaná konstrukce s dlouhou životností
✔ možnost úsporného EC motoru s regulací výkonu
✔ vhodný pro komerční i technické instalace
Ruck KVR je ideální volbou pro projekty, kde je potřeba spolehlivý a výkonný ventilátor do hranatého potrubí s jednoduchou integrací do vzduchotechnického systému. Nabízí vyváženou kombinaci výkonu, odolnosti a flexibilního použití.
Doplňkové parametry
| Kategorie: | Radiální ventilátory |
|---|---|
| Hmotnost: | 9.1 kg |
| Materiál: | Pozink |
| Průtok: | 1325 m3/h |
| Hlučnost: | 74 dB |
| El. proud: | 1,41 A |
| El. příkon: | 169 W |
| Hmotnost: | 9,1 kg |
| Kód: | 158350 |
| Krytí IP: | IPX4 |
| Napájení: | 230 V |
| Napojení: | 400x200 mm |
| Název: | KVR 04020EC-32 |
| Počet rychlostí: | 1 |
| Teplotní odolnost: | 50 °C |
| Typ motoru: | EC |
| Výrobce: | Ruck Ventilatoren |
Buďte první, kdo napíše příspěvek k této položce.
Buďte první, kdo napíše příspěvek k této položce.